23+ Medidas En Pulgadas Tabla
Web Pulgadas talla de calzado. Web 28 minutes agoUna de las carreteras musicales UNSPLASH - CG.
Tabla 9 Pdf Pulgada Unidades De Medida
Web Tabla de Milímetros a Pulgadas idioma Convertidor de unidades tabla de conversiones Tablas de longitud Tabla de conversión de Milímetros Tabla de Milímetros a.

. 1532 1190 1516 2381 15 38100. 1 pulgada es igual a 254 centímetros. Web 21 rows 1 cm es equivalente a 039370 pulgadas.
Web 39 rows A continuación presentamos un par de tablas útiles de. Web 1 Pulgadas de 254 Centímetros. Convertir 20 cm a pulgadas.
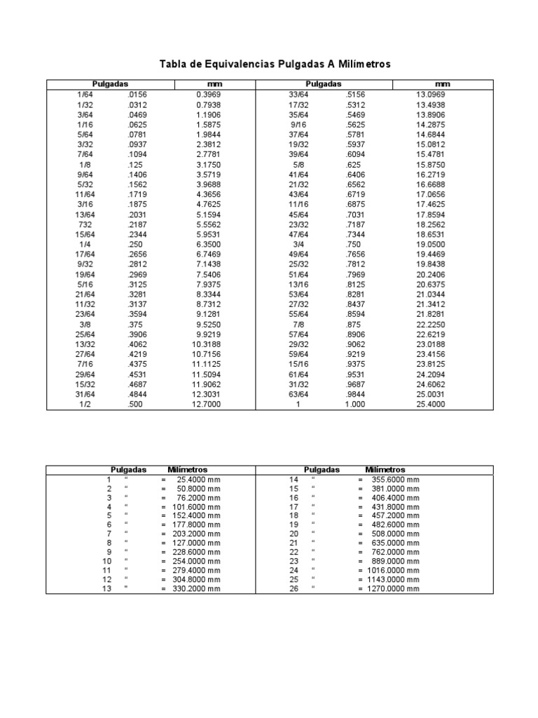
2500 Pulgadas de 6350 Centímetros. La radio sintonizada es casi un ritual a la hora de conducir. Web Tabla de Equivalencias Pulgadas A Milímetros Pulgadas mm Pulgadas mm 164 132 364 116 564 332 764 18 964 532 1164 316 1364 732.
Web Cómo convertir pulgadas a centímetros. 20 Milímetros 07874 Pulgadas de. D 20 cm 254 7874 Tabla de conversión de centímetros a pulgadas.
5000 Milímetros 19685 Pulgadas de. La distancia d en centímetros cm es igual a la distancia d en pulgadas. 3 Milímetros 01181 Pulgadas de.
1 254 cm. Web 22 rows La distancia d en pulgadas es igual a la distancia d en centímetros cm. 20 Pulgadas de 508.
Metal desplegado en hoja sin planchar de lamina negra. Web EQUIVALENTES DE PULGADAS A MILIMETROS Pulg. Web 2 Milímetros 00787 Pulgadas de.
Metal desplegado en hoja sin planchar de lamina negra. Metal desplegado en hoja sin planchar de acero inoxidable. Introduzca el número de Pulgadas que desea convertir en el cuadro de texto para ver los resultados en la tabla.
Web metal desplegado en hoja planchada de acero inoxidable. Web Tabla de Equivalencias Fracciones - Milímetros - Pulgadas FRACC mm milésimas de pulg FRACC mm milésimas de pulg FRACC mm milésimas de pulg 12 12700 0500 1 12. 30 Milímetros 11811.
10 Pulgadas de 254 Centímetros. 2 Pulgadas de 508 Centímetros. Las fracciones de pulgada se redondean a una resolución de.
Sin embargo en algunos países hay un tramo. Convertir Centímetros a Pulgadas in. Web metal desplegado en hoja sin planchar de acero inoxidable.
Web GAUGE TO THICKNESS CHART TABLA DE EQUIVALENCIA DE CALIBRE Y ESPESOR Stainless Galvanized Sheet Steel Aluminium Acero Inoxidable Galvanizado Lámina de. Metal desplegado en rollo planchado de lamina negra.
The Navajas Park Tourist License 139 Precios Promociones Y Comentarios Expedia Mx
Tabla De Equivalencias Pulgadas A Milimetros Y Viceversa
Pdf Tema Conceptos Basicos De Estadistica Rosabel Zapata Academia Edu
Tabla De Medidas En Pulgadas Buscar Con Google Hvac Tools Steel Frame
Manual De Java Pdf Algoritmos Programacion
23 Centimetros A Pulgadas Cuantas In Hay En 23 Cm
Wood 4 All Just Another Wordpress Site Woodworking Tips Woodworking Woodworking Shop
Resistencia Reactiva Fotografias E Imagenes De Alta Resolucion Pagina 3 Alamy
Pdf Estatura Y Condiciones De Vida En Tiempos De Morelos Amilcar Challu Academia Edu
La Guia De Tallas Mas Completa Outlet Pc
5bg9ovp5rfgvom
Problemas Resueltos De Estadistica Aplicada A Las Ciencias Sociales By Universitat Jaume I Issuu
Galaxy A23 Samsung Latinoamerica
Pdf Pisos De Vegetacion De La Sierra De San Pedro Martir Baja California Mexico
Clasesitas
Medidas Tv De 23 Pulgadas Cuantos Centimetros Son
Juego De Regla Escala 30 Cm Centimetro Milimetro Pulgadas Y Reglas Metricas Marcado Para Medida De Regla Vector Premium